DEEPURE
zertifikate


Qualität ist unsere Herzensangelegenheit: dieser Leitspruch begleitet die Premium Produkte von Tasly -wie DEEPURE- im Bereich Gesundheit und Lifestyle sprichwörtlich vom Samenkorn bis zur Faltschachtel. Denn wir haben bereits beim Anbau Methoden und der Extraktion digitale Sicherungsmodule implementiert. Zusätzlich wird der DEEPURE Tee in Europa durch ein deutsches Qualitätsmanagement System flankiert. Für diesen Qualitätsanspruch steht exemplarisch die Verleihung des renommierte iF Design Awards 2022. Damit befindet sich DEEPURE in exklusiver Markengesellschaft mit Danone, Nokia und Pepsi, die weiteren Laureaten dieses 75jährigen ursprünglich deutsche Industriedesign-Preises. Weitere DEEPURE Qualitätsdokumente und Informationen zum unserem umfangreichen Patentportfolio finden Sie untenstehend.
Zertifikate Deutschland


QM und Analytik "Made in Germany"
Das Qualitätsmanagement wird von einem deutschen Deutschland abgebildet, die Produkte werden einem Re-Test in einem EU-zertifizierten deutschen Labor unterzogen.
Zertifikate China

Zertifizierte Herstellung
Das Zertifikat erstreckt sich auf die Methoden der Guten Herstellpraxis für Tees und Kräuter.

Zertifizierte Forschungsabteilung
Das Zertifikat erstreckt sich auf die Methoden der Guten Forschungspraxis für innovative Teeverarbeitungstechnologien.
Zertifikate Eco China

Organic Certificate Herstellung
Das Zertifikat erstreckt sich auf die Produktion nach ökologischen Rahmenbedingungen.

Organic Certificate Anbau & Sammlung
Das Zertifikat erstreckt sich auf die Sammlung der Teeblätter nach ökologischen Rahmenbedingungen.
Auszeichnungen

iF DESIGN AWARD
1953 als Die Gute Industrieform e.V. gegründet, ist iF Design seither weltweit zu einem Symbol für exzellentes Design geworden. Als einer der weltweit größten Designpreise wird er in neun Disziplinen für herausragende Designleistungen angeboten.: Von Product Design, Packaging, Communication Design über Interior Design und Architecture bis hin zu digitalen Disziplinen Service Design, User Experience (UX) und User Interface (UI). Mit der Disziplin Professional Concepts schließlich bewertet die Jury die Zukunft des Designs.

MUSE DESIGN AWARDS
Die MUSE Design Awards sind Teil des MUSE Awards Program, das 2015 vom International Awards Associate (IAA) ins Leben gerufen wurde. Die Gründung der IAA basierte auf der Mission, Kreativität zu ehren, zu fördern und zu fördern, indem ein neuer Exzellenzstandard für die Bewertung bereitgestellt wird Produktion und Vertrieb von Mediendesign. Die Mission der IAA hat die Ziele der MUSE Design Awards weitgehend geprägt. Grundsätzlich sind die MUSE Design Awards ein internationaler Wettbewerb für Designer, deren Handwerkskunst Paradigmen verändert. Ihr Einfallsreichtum und ihre gründliche Arbeit lassen andere staunen und definieren dabei Grenzen und Spielräume neu – ganz wie eine Muse.

TOP 10 herausragende Tees bei Green Food
Deepure Tea Essence wurde in die „Top 10 der herausragenden Teeprodukte “ des Jahres 2019 der Green-Food-Marken in Yunnan aufgenommen.

TOP 10 Teeproduzenten
Deepure BioValley wurde in die „Top 10 der Teeproduzenten“ aufgenommen.

AAAAA Tourist Attraction
Im Jahr 2017 wurde Deepure Valley in die erste Gruppe der zehn besten Demonstrationsbasen für Industrietourismus in China gewählt (die erste ihrer Art in Yunnan). Im Jahr 2018 wurde der Ort als nationale AAAA-Touristenattraktion zertifiziert.
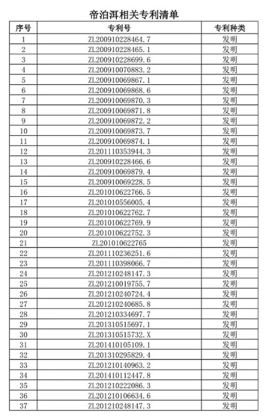
Patente

37 nationale und internationale Herstellpatente
DEEPURE stützt sich auf die pharmazeutische Philosophie und wendet patentierte Technologien der Blattproportionierung und der mehrstufigen Gegenstromextraktion an, um die Essenz des Pu'Er-Tees vollständig zu extrahieren. 37 Patente für eine perfekte Tasse Tee.
